[逆矩阵及其性质] 若方阵A,B满足等式
AB=BA=I (I为单位矩阵)
则称A为B的逆矩阵,或称B为A的逆矩阵,记作
A=
或 B=![]()
这时A,B都称为可逆矩阵(或非奇异矩阵,或满秩矩阵).否则称为不可逆矩阵(或奇异矩阵,或降秩矩阵).
可逆矩阵具有性质:
1° 若A,B为可逆矩阵,则AB仍为可逆矩阵,且
(反序定律)
一般地,若A1 ,A2 ,…,As为可逆矩阵,则
![]()
![]()
2° 矩阵A可逆的充分必要条件是:det A¹ 0.
3° 若矩阵A可逆,则
det
¹
0 且 det
=(det![]()
=A,
(a¹ 0)
=(
)t
, ![]()
4° 矩阵A可逆的充分必要条件是:矩阵A的特征值全不为零.
[伴随矩阵与逆矩阵表达式] 设Aij为矩阵A=(aij)的第i行第j列元素aij的代数余子式,则矩阵
A*=
称为矩阵A的伴随矩阵.
若A为非奇异矩阵,即det A¹ 0,则A的逆矩阵表达式为
![]()
注意,A*的第i行第j列元素是A的第j行第i列元素的代数余子式.
[对角矩阵的逆矩阵] 对角矩阵
D=
, di¹
0 (i=1,2,...,n)
的逆矩阵为
D-1=
显然对角矩阵的逆矩阵仍是对角矩阵.
[三角形矩阵的逆矩阵] 三角形矩阵
L=
,
![]()
的逆矩阵为
=P=
式中
(i=1,2,...,n)

![]()
显然非奇异下(上)三角形矩阵的逆矩阵仍是下(上)三角形矩阵.
[正定矩阵的逆矩阵]
1° 高斯-若当法
正定矩阵A=(aij)的逆A-1=(bij)可由下列递推公式求出:
,
, ![]()
![]()
(k=1,2,...,n)
最后得到
![]()
式中n为该正定矩阵A的阶.
2° 三角阵法 其步骤如下:
(1) 把正定矩阵A=(aij)表示为
A=L DL t
式中D为实的非奇异对角矩阵
D=
L 为实的非奇异下三角矩阵.
L
=
L t 是L 的转置矩阵.di(i=1,2,...,n)与l ij(i=2,...,n;j=1,…,n)由下面递推公式算出:
![]()
![]()
![]()
![]()
![]()
(2)求出D的逆矩阵
=
(3)求出L 的逆矩阵

式中
![]()
(4)求出A的逆矩阵
=(L
D
=(
)t
![]()
=
式中
![]()
注意,这种方法的好处是避免了求平方根的运算.
[分块矩阵的逆矩阵] 设非奇异矩阵A的分块矩阵为
A=
式中B11,B22为方子阵,那末A的逆矩阵
A-1=
由下面公式求出

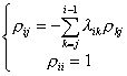
[初等变换法求逆矩阵] 设
=
=
=B
对矩阵

作一系列行的初等变换,使虚线左边一块矩阵化为单位矩阵,而右边一块单位矩阵就变为A的逆矩阵B=A-1,即

[逆矩阵的近似求法]
设
为矩阵A的初始近似逆矩阵,可由下列迭代公式求出更精确的逆矩阵:
(n=0,1,2,...)
式中I为与A同阶的单位矩阵.
[计算机求逆程序的检验矩阵] 用下列n阶非奇异矩阵及其逆矩阵,来检验大矩阵求逆的计算程序.
A=
![]()
=