|
方 程 与 图 形 |
计 算 公 式 与 说 明 |
|
[点线的距离] 法线式 一般式
|
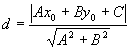
d法= 式中d为点M(x0, y0)到直线L的距离 |
|
[二直线的夹角] L1 A1x + B1y + C1 = 0 斜率为k1 L2 A2x + B2y + C2= 0 斜率为k2
|
特别, 当 当 当A1A2+B1B2 = 0 (或1 + k1k2 = 0)时,L1⊥L2 |
|
方 程 与 图 形 |
计 算 公 式 与 说 明 |
|
[直线束× 三直线共点的条件] Ll (A1x + B1y + C1) + l (A2x + B2y + C2) = 0, (l 为参数,-¥ < l < ¥ )
|
对l 的一个确定值,Ll 表示一条通过二直线(L1和L2)的交点G的直线,当l 取一切值时,Ll 所表示的通过G的直线的全体称为直线束,G称为直线束的顶点(或中心). 设L3为A3x + B3y + C3 = 0,则三条直线L1, L2, L3共点的条件为行列式 如果二直线方程以法线式给定,则|l |为直线Ll 上任一点到二给定直线之间的距离之比,对应与 l = 1和 l = -1的直线为给定二直线夹角的平分线 |